
Uberlândia – Sou um entusiasta dos mecanismos de regulação do sistema imunológico. Fico intrigado com as diferentes formas pelas quais uma resposta inflamatória e seus efeitos deletérios podem ser controlados. Neste sentido, o objetivo do post de hoje é indicar ao amigo blogueiro dois artigos científicos que serão publicados e que demonstram novos e importantes mecanismos de modulação da resposta imune inata.
1. Em um trabalho muito elegante a ser publicado na Nature Immunology, o grupo do Prof. Charles Dinarello descreve os papéis e mecanismos de ação da citocina IL-1F7, membro da família IL-1. Os autores provêem uma vasta gama de experimentos que demonstram sua expressão, capacidade em suprimir a produção de citocinas pró-inflamatórias, desativação de células dendríticas e indução de um prognóstico favorável em modelo experimental de choque séptico. Com base nos resultados apresentados, os autores sugerem que a citocina seja denominada de IL-37;
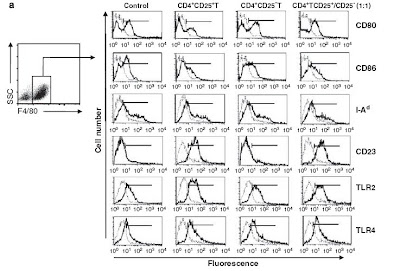
2. A segunda sugestão envolve a ação de células T regulatórias sobre macrófagos. Os autores demonstram in vivo que o contato com Tregs altera o fenótipo de macrófagos para M2. Dentre os resultados mais significativos, animais que receberam a transferência de células T CD4+CD25+ apresentaram macrófagos peritoneais com capacidade reduzida de apresentação de antígenos e produção de óxido nítrico, associado com o aumento de expressão de IL-10 e arginase. O estudo é de autoria de Liu et al. e está no prelo no períodico Immunology and Cell Biology.






Nenhum comentário:
Postar um comentário